新编大学英语(第三版)视听说教程 3应惠兰课后习题答案解析

2020年11月23日 15:08
560浏览
新编大学英语(第三版)视听说教程 3
新编大学英语(第三版)视听说教程 3
主 编: 应惠兰
ISBN: 9787513520355
出版社: 外语教学与研究出版社
上传者: ,,,,
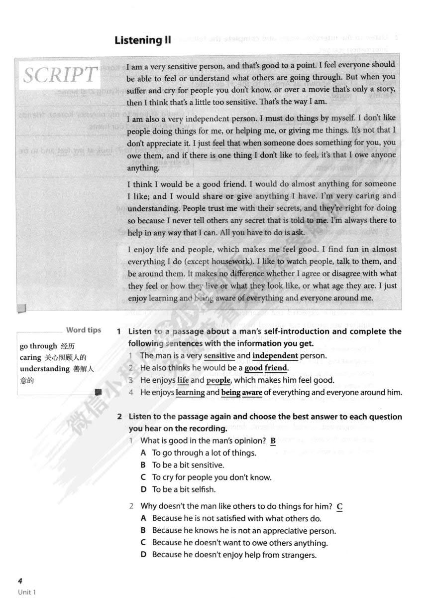
《新编大学英语(第三版)视听说教程 3》是大学英语教材中的一本,旨在提高大学生的英语听说能力。本书内容丰富,涵盖了各种生活场景,包括校园生活、社交场合、旅游等。每个单元都配有生动的视频材料,帮助学生更好地理解和掌握英语听说技巧。在学习过程中,我们可以结合教材中的音频和视频材料,反复听读,模仿发音和语调,提高听力和口语表达能力。同时,也可以参加英语角、英语演讲比赛等活动,锻炼英语实际应用能力。总之,《新编大学英语(第三版)视听说教程 3》是一本实用且丰富的英语学习资料,只要认真学习,定能提高英语听说能力。
《新编大学英语(第三版)视听说教程 3》是大学英语教材中的一本,旨在提高大学生的英语听说能力。本书内容丰富,涵盖了各种生活场景,包括校园生活、社交场合、旅游等。每个单元都配有生动的视频材料,帮助学生更好地理解和掌握英语听说技巧。在学习过程中,我们可以结合教材中的音频和视频材料,反复听读,模仿发音和语调,提高听力和口语表达能力。同时,也可以参加英语角、英语演讲比赛等活动,锻炼英语实际应用能力。总之,《新编大学英语(第三版)视听说教程 3》是一本实用且丰富的英语学习资料,只要认真学习,定能提高英语听说能力。
《新编大学英语(第三版)视听说教程 3》是大学英语教材中的一本,它旨在提高大学生的英语听说能力。本书内容丰富,涵盖了各种生活场景,包括校园生活、社交场合、旅游等。每个单元都配有生动的视频材料,帮助学生更好地理解和掌握英语听说技巧。在学习过程中,我们可以结合教材中的音频和视频材料,反复听读,模仿发音和语调,提高听力和口语表达能力。同时,也可以参加英语角、英语演讲比赛等活动,锻炼英语实际应用能力。总之,《新编大学英语(第三版)视听说教程 3》是一本实用且丰富的英语学习资料,只要认真学习,定能提高英语听说能力。
详情资料
新编大学英语(第三版)视听说教程 3
新编大学英语(第三版)视听说教程 3
新编大学英语(第三版)视听说教程 3
新编大学英语(第三版)视听说教程 3
新编大学英语(第三版)视听说教程 3
新编大学英语(第三版)视听说教程 3
为了给您更好的查看体验,请下载资小料APP免费查看余下资料
更新于 2025年09月16日 13:39
本书资料由用户,,,,上传,如有侵权请联系平台客服删除。